Chi tiết danh sách ô tô, xe máy bị phạt nguội đầu tháng 10 tại Hà Nội

Chi tiết danh sách ô tô, xe máy bị phạt nguội đầu tháng 10 tại Hà Nội
4 giờ trướcBài gốc
Theo đó, chủ phương tiện, người điều khiển phương tiện có thể tra cứu thông tin “phạt nguội” trên trang thông tin điện tử của Cục Cảnh sát giao thông - Bộ Công an tại địa chỉ www.csgt.vn, hoặc liên hệ trực tiếp Đội Chỉ huy giao thông và điều khiển đèn tín hiệu giao thông (Phòng CSGT - CATP Hà Nội) tại số 54 Trần Hưng Đạo, phường Cửa Nam, TP Hà Nội, điện thoại: 0692.196.440 để được hướng dẫn, giải quyết.
Đối với người dân cư trú trên địa bàn Hà Nội có thể đến 14 địa điểm tiếp nhận, giải quyết kết quả thu thập được bằng phương tiện, thiết bị nghiệp vụ (phạt nguội) của Phòng Cảnh sát giao thông để giải quyết vụ việc vi phạm hành chính.
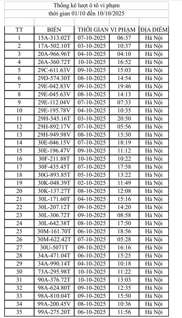
Danh sách xe ô tô vi phạm:
PV/VOV Giao thông
Nguồn VOV : https://vov.vn/xa-hoi/chi-tiet-danh-sach-o-to-xe-may-bi-phat-nguoi-dau-thang-10-tai-ha-noi-post1240055.vov