Dân tộc thiểu số nào có mức sinh thấp nhất?

Dân tộc thiểu số nào có mức sinh thấp nhất?
5 giờ trướcBài gốc
Theo báo cáo của Cục Dân số (Bộ Y tế), tổng tỉ suất sinh (TFR) trung bình của phụ nữ dân tộc thiểu số năm 2024 đạt 2,25 con/phụ nữ, giảm 0,1 so với năm 2019.
Con số này cao hơn mức sinh thay thế là 2,1 con/phụ nữ và cao hơn mức bình quân chung cả nước (1,91 con/phụ nữ).
Phụ nữ Khơ me và Thái có mức sinh thấp nhất
Trong số 53 dân tộc thiểu số, dân tộc Khơ me và dân tộc Thái là hai nhóm có mức sinh thấp nhất, lần lượt chỉ 1,83 và 1,93 con/phụ nữ, thấp hơn mức sinh thay thế.
Ngược lại, một số dân tộc nhỏ như Cơ Lao (4,32 con/phụ nữ), Chứt (4,22), Mảng (4,04), Pà Thẻn (3,63) và La Hủ (3,41) nằm trong nhóm có mức sinh cao nhất.
Trong nhóm dân tộc có quy mô dân số lớn (từ 1 triệu người trở lên), người Mông vẫn là dân tộc có mức sinh cao nhất với 3,23 con/phụ nữ, dù đã giảm mạnh so với giai đoạn 1999, khi đạt tới 9 con/phụ nữ.
10 dân tộc thiểu số có tổng tỉ suất sinh cao nhất, năm 2019 và 2024. Đơn vị tính: Số con/phụ nữ
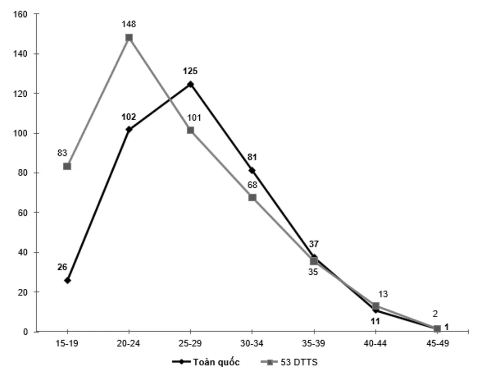
Kết quả khảo sát cũng chỉ ra mô hình sinh con của phụ nữ dân tộc thiểu số có đặc trưng là sinh sớm hơn so với mặt bằng chung.
Nhóm tuổi 20-24 là giai đoạn sinh nở nhiều nhất, với 148 con/1.000 phụ nữ, trong khi ở phụ nữ Việt Nam nói chung, độ tuổi sinh nở phổ biến là từ 25-29 tuổi.
Đáng chú ý, tỉ lệ sinh ở nhóm 15-19 tuổi của phụ nữ dân tộc thiểu số cao gấp hơn 3 lần trung bình toàn quốc (83 so với 26 con/1.000 phụ nữ).
Tỉ suất sinh đặc trưng theo tuổi của toàn quốc và 53 dân tộc thiểu số năm 2024. Đơn vị tính: Số con/1.000 phụ nữ
Tình hình chăm sóc sức khỏe khi sinh
Báo cáo của Bộ Y tế cũng chỉ ra rằng có 87,8% phụ nữ dân tộc thiểu số mang thai đến cơ sở y tế để khám thai trong lần sinh gần nhất.
Tuy nhiên, mức độ này không đồng đều giữa các dân tộc. Một số dân tộc có tỉ lệ phụ nữ khám thai rất cao như dân tộc Giáy (97,4%), Lào (96,2%), Hrê (95,8%). Trong khi đó, tỉ lệ này còn khá thấp ở một số dân tộc như La Ha (75,1%), Mông (74,6%), La Hủ (72,3%).
Thực trạng này cho thấy việc chăm sóc sức khỏe thai sản cho phụ nữ dân tộc thiểu số còn nhiều bất cập, bởi tỉ lệ phụ nữ có thai được khám thai đầy đủ có liên quan trực tiếp đến tỉ suất tử vong ở trẻ dưới 1 tuổi, ảnh hưởng đến chất lượng nguồn nhân lực vùng dân tộc thiểu số và miền núi.
Bên cạnh đó, cả nước có 93% phụ nữ dân tộc thiểu số sinh con tại cơ sở y tế, 4,6% phụ nữ dân tộc thiểu số sinh tại nhà có cán bộ chuyên môn đỡ, 2,4% sinh tại nhà không có cán bộ chuyên môn đỡ.
Một số dân tộc như Mảng, Chứt, La Chí, Lô Lô, Mông có tỉ lệ sinh tại nhà không có cán bộ chuyên môn đỡ ở mức cao, từ 10,8-23,5%, tiềm ẩn nguy cơ về sức khỏe bà mẹ và trẻ sơ sinh.
Mức chết giảm nhưng vẫn cao hơn bình quân của cả nước
Về mức chết, tỉ suất chết thô (CDR) của 53 dân tộc thiểu số năm 2024 là 7,9‰, tăng nhẹ so với năm 2019 (7,7‰) và cao hơn mức chung của cả nước (5,6‰). Một số dân tộc có tỉ suất chết cao như La Hủ (13,8‰), Rơ Măm (12‰), Cơ Lao (11,8‰), Hoa (11,5‰).
CDR là một trong những chỉ tiêu phổ biến nhất để đo lường mức độ tử vong của một tập hợp dân số. CDR cho biết trung bình cứ 1.000 dân thì có bao nhiêu người chết trong một thời gian nhất định (thường là 1 năm).
Tỉ suất chết của trẻ em dưới 1 tuổi (IMR) trong nhóm dân tộc thiểu số là 20,4‰, giảm so với năm 2019 nhưng vẫn gần gấp đôi so với trung bình cả nước (11,3‰). Các dân tộc có IMR cao nhất gồm La Hủ (61,1‰), Lự (54,6‰), Mảng (51,4‰), Si La (47,7‰) và Rơ Măm (46,0‰).
Ngược lại, các dân tộc có tỉ lệ tử vong trẻ em thấp nhất gồm Hoa (11,0‰), Chơ Ro (14,1‰), Mường (14,4‰), Giáy và Ngái (15,0‰), Cơ Ho (15,1‰) và Khơ me (15,6‰).
Tuổi thọ trung bình của người dân tộc thiểu số năm 2024 đạt 71,2 tuổi, thấp hơn so với trung bình cả nước. Dân tộc Hoa có tuổi thọ cao nhất (74,8 tuổi), trong khi La Hủ thấp nhất (60,5 tuổi), chênh lệch tới 14 năm.
Báo cáo đưa ra kết luận, dù mức sinh của phụ nữ dân tộc thiểu số đang giảm, song nhiều dân tộc vẫn duy trì ở mức cao; trong khi một số dân tộc như Khơ me và Thái đã có mức sinh thấp hơn mức sinh thay thế - hiện tượng hiếm gặp trước đây.
Các chuyên gia nhận định điều này vừa phản ánh tiến trình chuyển đổi nhân khẩu học trong cộng đồng dân tộc, vừa cho thấy sự phân hóa rõ rệt về kinh tế - xã hội giữa các nhóm dân tộc thiểu số.
THANH TÚ
Nguồn PLO : https://plo.vn/dan-toc-thieu-so-nao-co-muc-sinh-thap-nhat-post880093.html