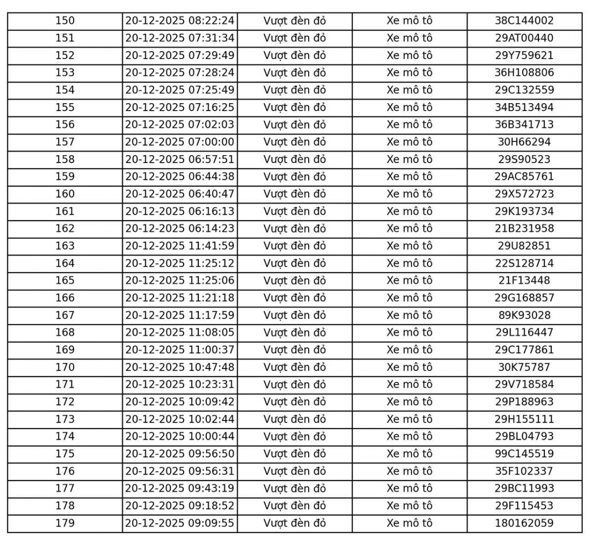
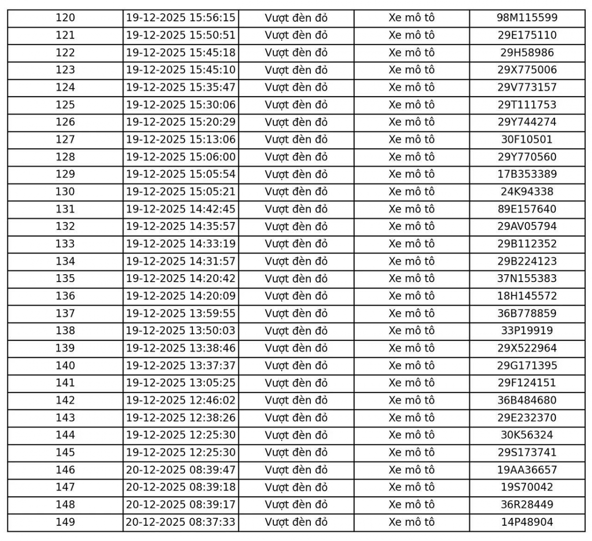
Danh sách 180 xe vi phạm bị Camera AI ghi hình ngày 20/12

Danh sách 180 xe vi phạm bị Camera AI ghi hình ngày 20/12
3 giờ trướcBài gốc
Ngày 21/12, đại diện Cục CSGT (Bộ Công an) công bố danh sách ô tô, xe máy vi phạm Luật Trật tự, an toàn giao thông đường bộ được camera AI phát hiện.
Camera AI ghi hình trường hợp vi phạm giao thông
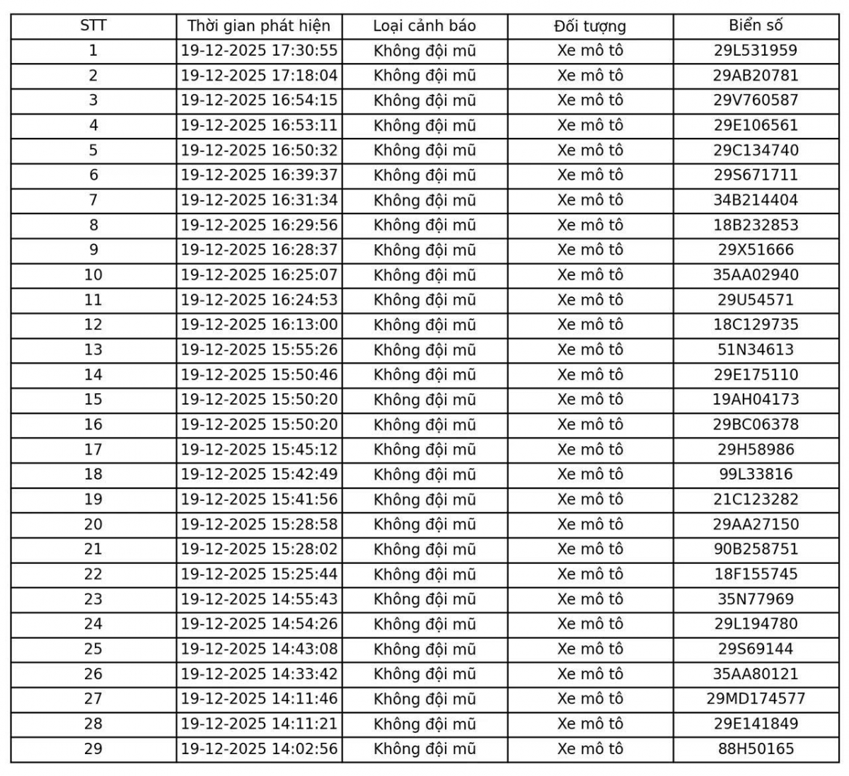
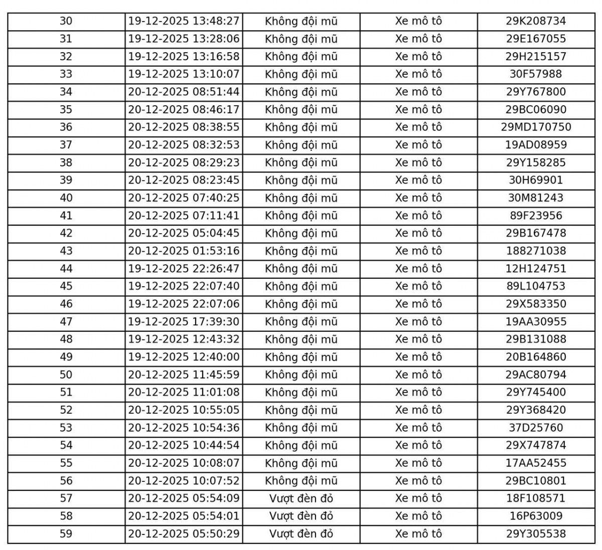
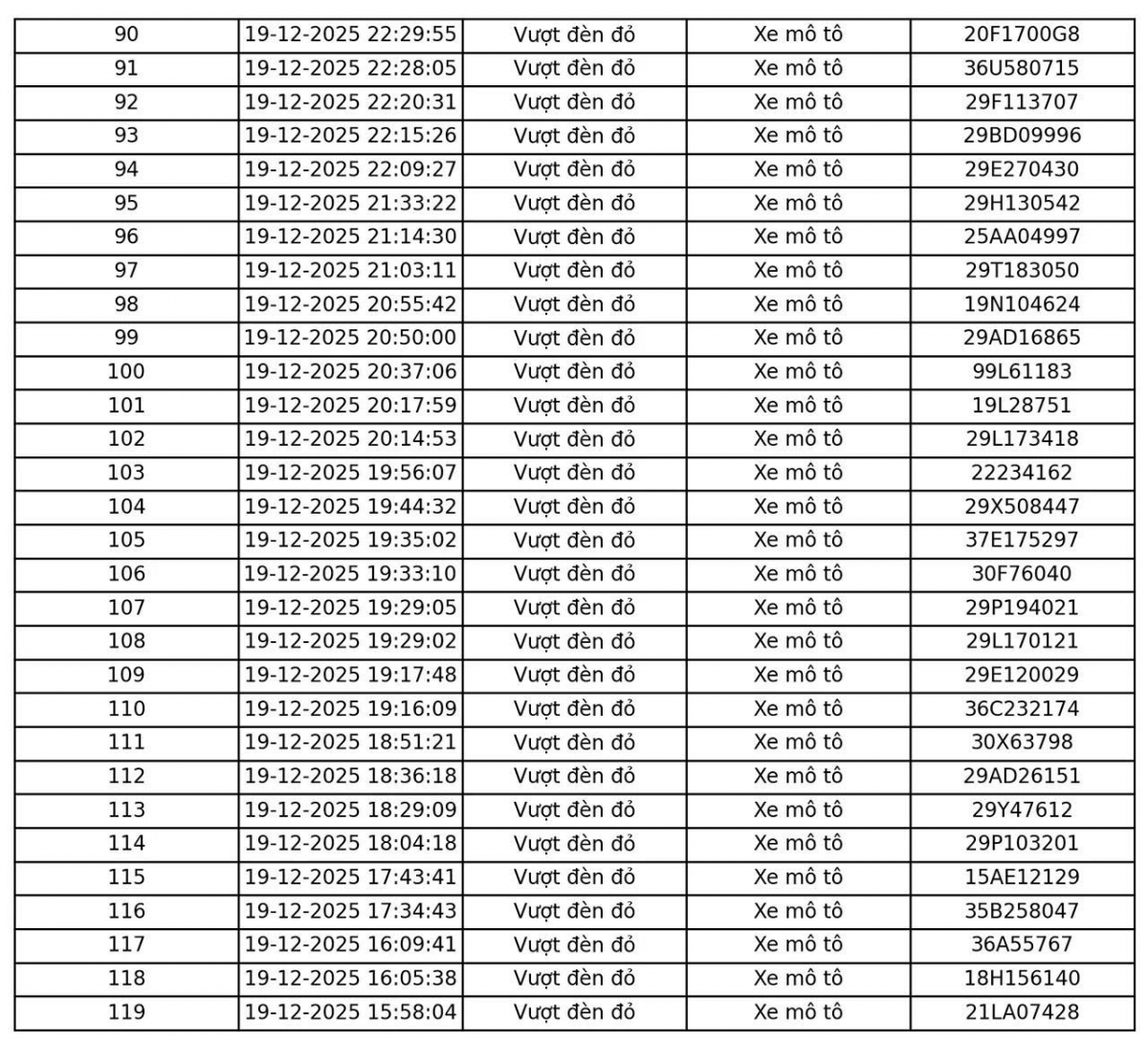
Theo đó, từ 12h ngày 19/12 đến 12h ngày 20/12, camera AI lắp đặt tại ngã tư Phạm Văn Bạch – Hoàng Quán Chi (Hà Nội) ghi nhận 123 trường hợp xe máy vượt đèn đỏ. Cùng thời điểm, hệ thống này cũng phát hiện 56 trường hợp người điều khiển xe máy không đội mũ bảo hiểm.
Cùng thời gian trên, camera AI trên đường Lê Văn Lương (Hà Nội) phát hiện hai trường hợp đi sai làn đường.
Camera AI ghi hình trường hợp vi phạm giao thông
Đại diện Cục CSGT cho biết, danh sách các trường hợp vi phạm đã được chuyển cho Công an Hà Nội để xử lý theo quy định.
Tại nút Km 20 cao tốc Nội Bài – Lào Cai, camera AI ghi nhận 15.376 ô tô lưu thông trong khoảng thời gian này, trong đó phát hiện một trường hợp tài xế không thắt dây đai an toàn.
Danh sách xe vi phạm giao thông bị Camera AI ghi hình ngày 20/12
PV/VOV Giao Thông
Nguồn VOV : https://vov.vn/xa-hoi/danh-sach-180-xe-vi-pham-bi-camera-ai-ghi-hinh-ngay-2012-post1255616.vov