Danh sách gần 2.600 ô tô và xe máy bị camera AI phạt nguội ở Hà Nội

Danh sách gần 2.600 ô tô và xe máy bị camera AI phạt nguội ở Hà Nội
2 giờ trướcBài gốc
CSGT Hà Nội theo dõi tình hình giao thông, xử lý vi phạm qua hệ thống camera AI
Cụ thể, trong tổng số 2.580 vi phạm bị camera AI ghi nhận có 786 trường hợp ô tô và 1.794 trường hợp xe máy với các lỗi vi phạm chủ yếu gồm: Ngược chiều, sai làn, đường cấm, dừng đỗ sai quy định, không tuân thủ đèn tín hiệu giao thông...
Phòng CSGT Công an TP Hà Nội cho biết, các hành vi vi phạm được hệ thống ghi nhận với hình ảnh, clip đầy đủ, rõ nét; đủ thông tin về thời gian - địa điểm vi phạm, làm căn cứ pháp lý cho việc xử lý.
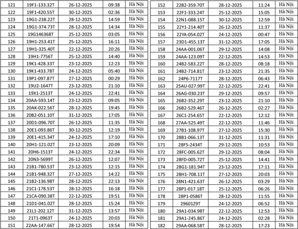
Danh sách một số xe ô tô bị camera AI phạt nguội ở Hà Nội:
Người dân có thể theo dõi đầy đủ tại đây.
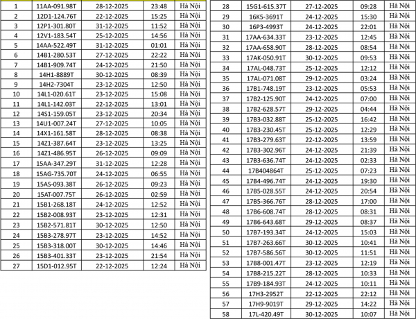
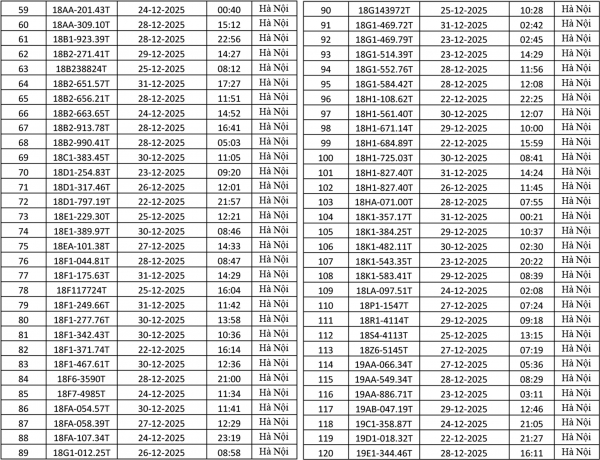
Danh sách một số xe xe máy bị camera AI phạt nguội ở Hà Nội:
Người dân có thể theo dõi đầy đủ tại đây.
Trường Thắng
Nguồn CAND : https://cand.com.vn/xa-hoi/danh-sach-gan-2-600-o-to-va-xe-may-bi-camera-ai-phat-nguoi-o-ha-noi-i796247/