Danh sách ô tô, xe máy vi phạm giao thông được phát hiện qua Camera AI

Danh sách ô tô, xe máy vi phạm giao thông được phát hiện qua Camera AI
một ngày trướcBài gốc
Trung tâm điều khiển giao thông TP Hà Nội.
Theo đó, chủ phương tiện, người điều khiển phương tiện có thể tra cứu thông tin “phạt nguội” trên ứng dụng VNeTraffic hoặc trang thông tin điện tử của Cục Cảnh sát giao thông - Bộ Công an tại địa chỉ www.csgt.vn, hoặc liên hệ trực tiếp Đội Chỉ huy giao thông và điều khiển đèn tín hiệu giao thông (Phòng CSGT - CATP Hà Nội) tại số 54 Trần Hưng Đạo, phường Cửa Nam, TP Hà Nội, điện thoại: 0692.196.440 để được hướng dẫn, giải quyết.
Danh sách ô tô vi phạm:
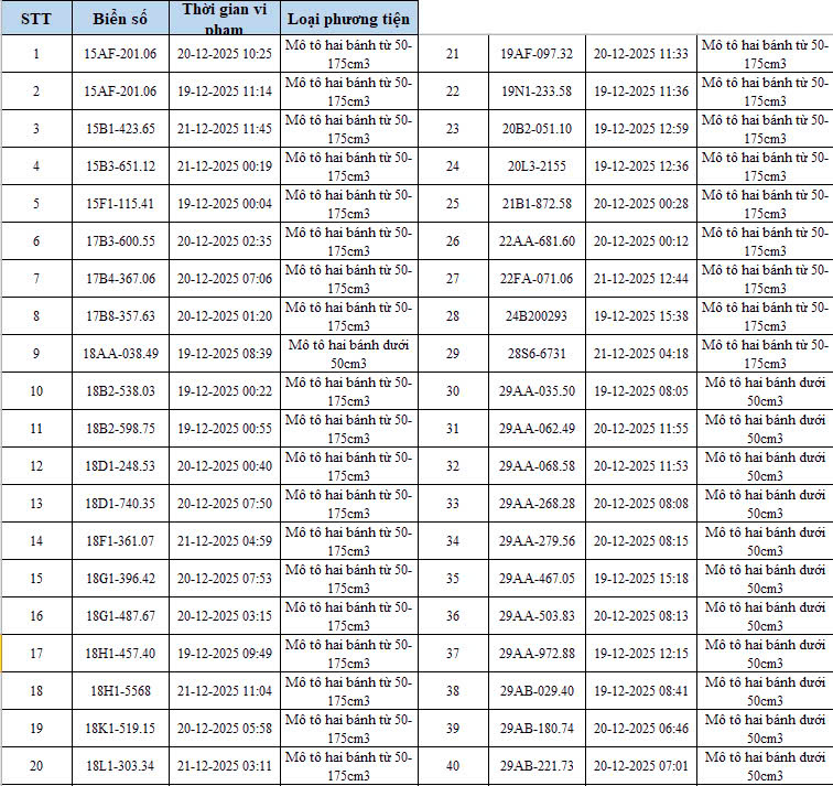
Danh sách xe máy vi phạm:
Tiến Quang
Nguồn PL&XH : https://phapluatxahoi.kinhtedothi.vn/danh-sach-o-to-xe-may-vi-pham-giao-thong-duoc-phat-hien-qua-camera-ai-441165.html