Danh sách phương tiện bị xử lý vi phạm qua hệ thống camera trong đầu tháng 10

Danh sách phương tiện bị xử lý vi phạm qua hệ thống camera trong đầu tháng 10
10 giờ trướcBài gốc
Theo đó, chủ phương tiện, người điều khiển phương tiện có thể tra cứu thông tin “phạt nguội” trên trang thông tin điện tử của Cục CSGT (Bộ Công an) tại địa chỉ www.csgt.vn, hoặc liên hệ trực tiếp Đội Chỉ huy giao thông và điều khiển đèn tín hiệu giao thông (Phòng CSGT Công an TP Hà Nội) tại số 54 Trần Hưng Đạo, phường Cửa Nam, TP Hà Nội, điện thoại: 0692.196.440 để được hướng dẫn, giải quyết.
Trung tâm điều khiển giao thông - Phòng CSGT Công an TP Hà Nội.
Đối với người dân cư trú trên địa bàn Hà Nội có thể đến 14 địa điểm tiếp nhận, giải quyết kết quả thu thập được bằng phương tiện, thiết bị nghiệp vụ (phạt nguội) của Phòng CSGT Công an TP Hà Nội để giải quyết vụ việc vi phạm hành chính.
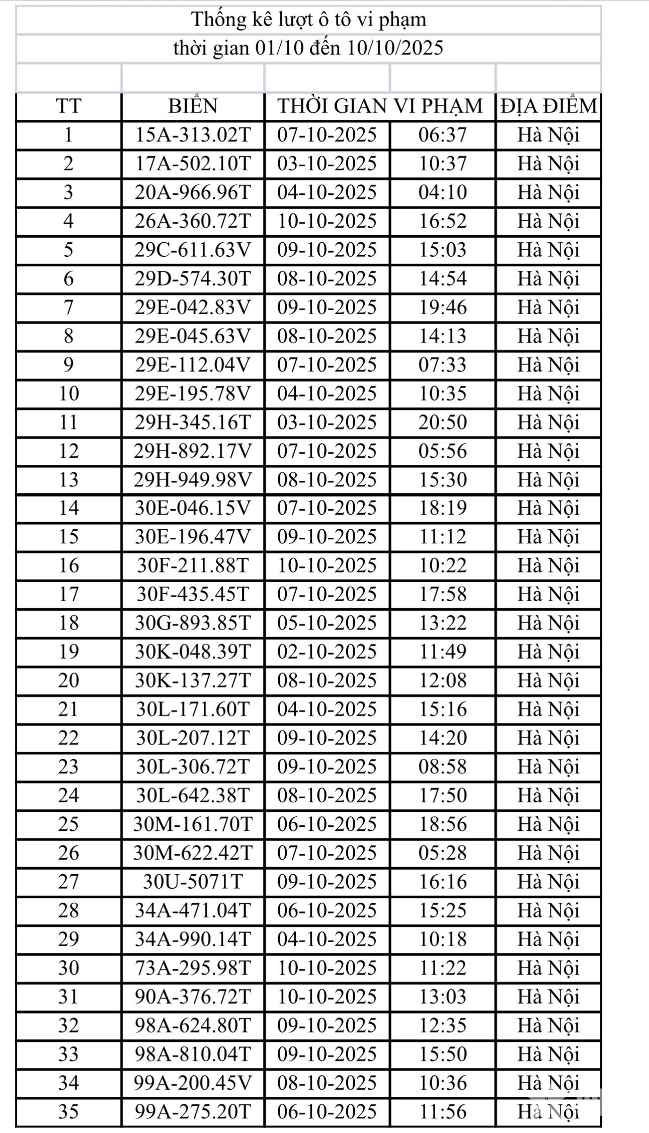
Danh sách ô tô vi phạm:
Danh sách mô tô vi phạm:
TRÂM ANH
Nguồn QĐND : https://www.qdnd.vn/phap-luat/tin-tuc/danh-sach-phuong-tien-bi-xu-ly-vi-pham-qua-he-thong-camera-trong-dau-thang-10-896918