Hà Nội: Chi tiết 41 ô tô, mô tô bị phạt nguội trong 10 ngày đầu tháng 10

Hà Nội: Chi tiết 41 ô tô, mô tô bị phạt nguội trong 10 ngày đầu tháng 10
2 ngày trướcBài gốc
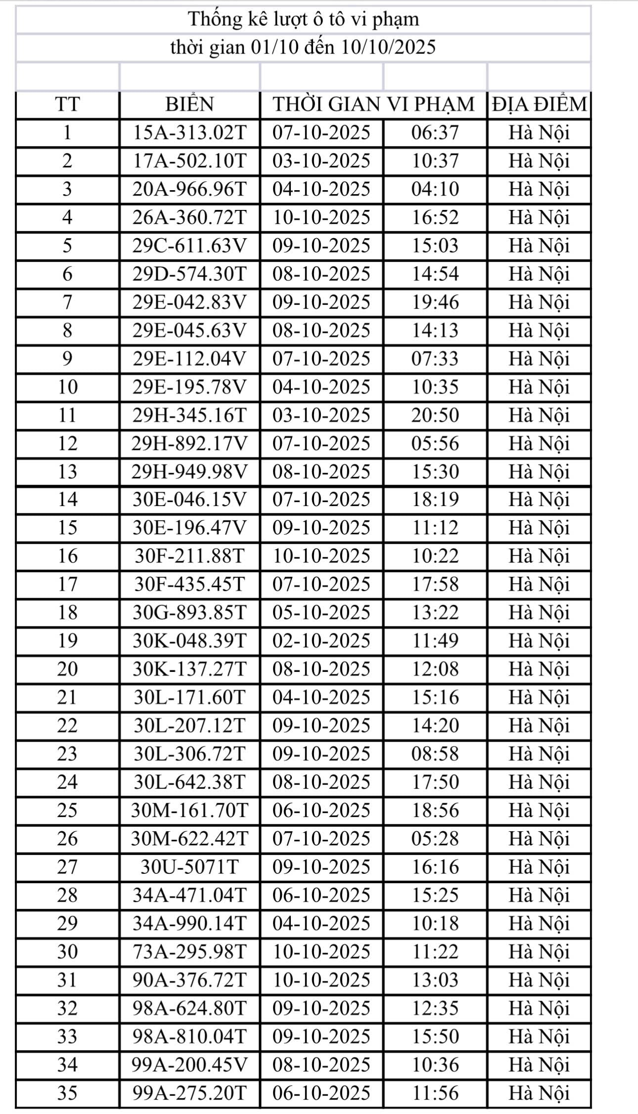
Danh sách ô tô vi phạm:
Danh sách mô tô vi phạm:
Chủ phương tiện, người điều khiển phương tiện có thể tra cứu thông tin “phạt nguội” trên trang thông tin điện tử của Cục Cảnh sát giao thông - Bộ Công an tại địa chỉ www.csgt.vn, hoặc liên hệ trực tiếp Đội Chỉ huy giao thông và điều khiển đèn tín hiệu giao thông (Phòng Cảnh sát giao thông - Công an thành phố Hà Nội) tại số 54 Trần Hưng Đạo (phường Cửa Nam, Hà Nội), điện thoại: 0692.196.440 để được hướng dẫn, giải quyết.
Đối với người dân cư trú trên địa bàn Hà Nội, có thể đến 14 địa điểm tiếp nhận, giải quyết kết quả thu thập được bằng phương tiện, thiết bị nghiệp vụ (phạt nguội) của Phòng Cảnh sát giao thông để giải quyết vụ việc vi phạm hành chính.
Mai Hữu
Nguồn Hà Nội Mới : https://hanoimoi.vn/ha-noi-chi-tiet-41-o-to-mo-to-bi-phat-nguoi-trong-10-ngay-dau-thang-10-720543.html