Hơn 7.000 học sinh Đà Nẵng có nguy cơ 'trượt' lớp 10 công lập

Hơn 7.000 học sinh Đà Nẵng có nguy cơ 'trượt' lớp 10 công lập
5 giờ trướcBài gốc
Ngày 1/4, Sở GD-ĐT TP Đà Nẵng cho biết, đơn vị đã ban hành Quyết định về việc giao chỉ tiêu kế hoạch trẻ, học sinh, học viên và chỉ tiêu tuyển sinh năm học 2026 - 2027.
Học sinh lớp 9 tại thành phố Đà Nẵng sắp bước vào kỳ thi lớp 10 với áp lực cạnh tranh cao năm 2026.
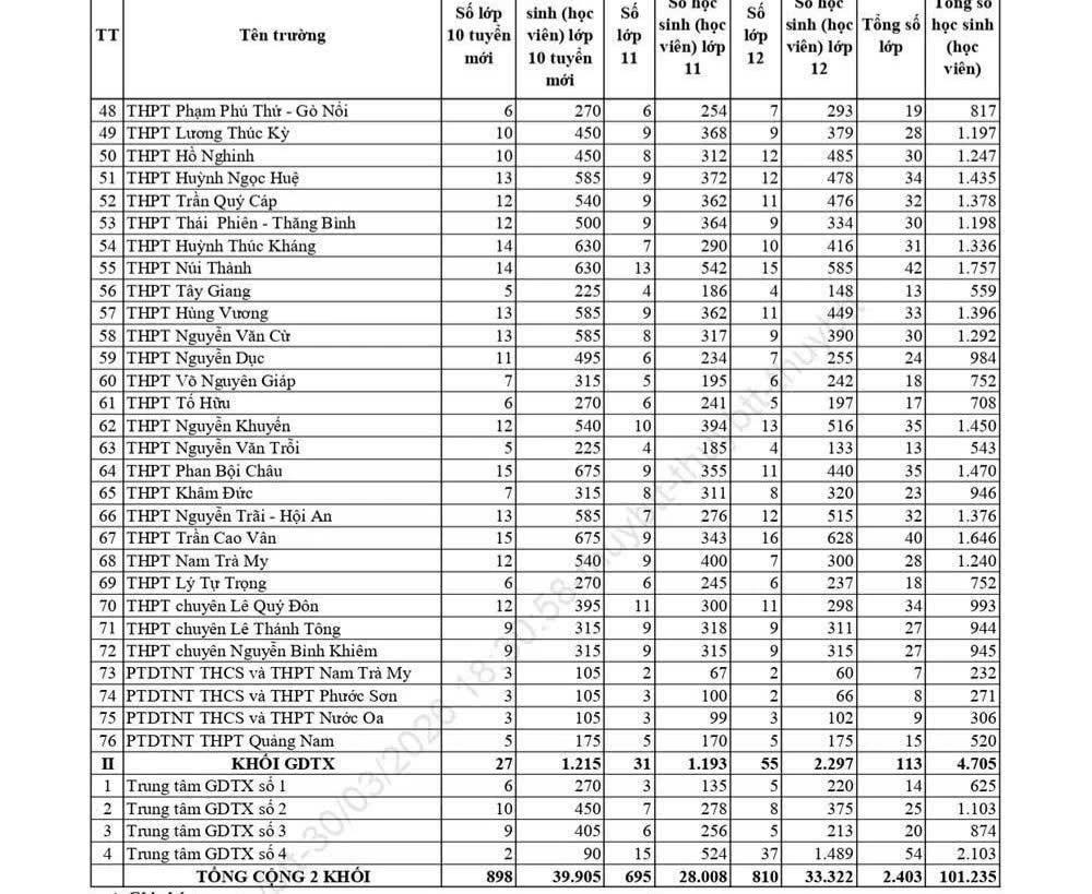
Theo đó, toàn thành phố có 76 trường công lập gồm các trường THPT, THPT chuyên và trường phổ thông dân tộc nội trú THCS, THPT tham gia tuyển sinh lớp 10.
Tổng chỉ tiêu tuyển sinh vào lớp 10 công lập là 38.690 học sinh, tương ứng 871 lớp. Ngoài ra, ở khối giáo dục thường xuyên, các đơn vị dự kiến tuyển mới 1.215 học viên lớp 10, tổ chức thành 27 lớp.
Trong khi đó, theo thống kê của ngành giáo dục Đà Nẵng, năm học 2025 – 2026, toàn thành phố có gần 46.000 học sinh lớp 9. Như vậy, số học sinh vượt khá xa so với chỉ tiêu tuyển sinh công lập, với hơn 7.000 em có thể không trúng tuyển vào lớp 10 các trường công lập.
Chỉ tiêu tuyển sinh lớp 10 năm học 2026 - 2027 được phân bổ chi tiết cho từng trường.
Theo kế hoạch, kỳ thi tuyển sinh vào lớp 10 năm học 2026 - 2027 tại TP Đà Nẵng sẽ diễn ra từ ngày 22 đến 25/5. Thí sinh sẽ tham gia 3 môn thi gồm ngữ văn, toán và ngoại ngữ.
Trong số các trường THPT công lập, Trường THPT Phan Châu Trinh có chỉ tiêu tuyển sinh cao nhất với 32 lớp 10, tương ứng 1.440 học sinh. Bên cạnh đó, khối giáo dục thường xuyên với 27 lớp tuyển mới cũng được kỳ vọng góp phần mở rộng cơ hội học tập cho học sinh sau khi hoàn thành bậc THCS.
Hoàng Vũ
Nguồn Pháp Luật VN : https://baophapluat.vn/hon-7-000-hoc-sinh-da-nang-co-nguy-co-truot-lop-10-cong-lap.html