Khoảng 70% học sinh TP.HCM có suất vào lớp 10 công lập

Khoảng 70% học sinh TP.HCM có suất vào lớp 10 công lập
3 giờ trướcBài gốc
Chiều tối 29-4, Sở GD&ĐT TP.HCM công bố chỉ tiêu vào lớp 10 của 176 trường THPT công lập và 5 trường liên cấp, chuyên, năng khiếu.
Học sinh lớp 9 Trường THCS Nguyễn Ảnh Thủ, phường Đông Hưng Thuận trong một tiết học. Ảnh: NGUYỄN QUYÊN
Trong 181 trường, 176 trường THPT tuyển hơn 117.000 chỉ tiêu; 5 trường liên cấp, chuyên và năng khiếu tuyển 1.195 chỉ tiêu.
Năm nay, TP.HCM có hơn 169.000 học sinh tốt nghiệp THCS. Với tổng chỉ tiêu 118.550, tỉ lệ đậu vào lớp 10 công lập đạt khoảng 70%.
Theo bảng chỉ tiêu, Trường THPT Nguyễn Văn Tăng dẫn đầu với 1.125 chỉ tiêu. Tiếp đến là các trường: THPT Mạc Đĩnh Chi (1.060 chỉ tiêu), THPT Hùng Vương và THPT Tây Thạnh (cùng 1.035 chỉ tiêu), THPT Marie Curie (1.000 chỉ tiêu).
Ngược lại, trường có chỉ tiêu thấp nhất là THCS-THPT Thạnh An với 60 chỉ tiêu, kế đến là THPT Quốc tế Việt - Úc với 90 chỉ tiêu.
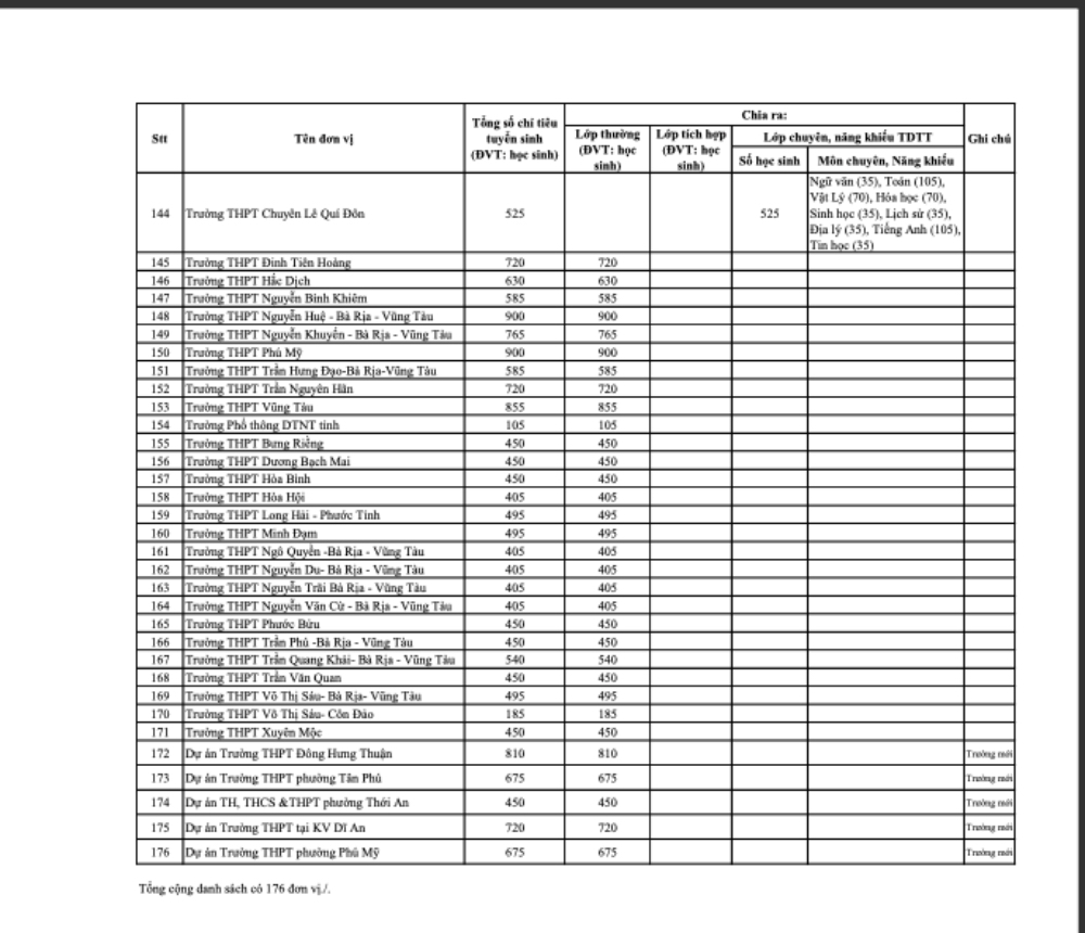
Chỉ tiêu của 176 Trường THPT công lập như sau:
Chỉ tiêu vào lớp 10 của 176 Trường THPT công lập tại TP.HCM
Chỉ tiêu lớp 10 của 5 trường THPT, trường phổ thông thuộc đại học:
Chỉ tiêu lớp 10 của 5 trường liên cấp, chuyên, năng khiếu
Kỳ thi vào lớp 10 năm học 2026-2027 diễn ra ngày 1 và 2-6. Thí sinh dự thi ba môn: Ngữ văn, Toán và Ngoại ngữ. Nhóm có nguyện vọng vào trường chuyên/tích hợp sẽ làm thêm bài thi môn tương ứng vào chiều 2-6.
Riêng tại xã đảo Thạnh An và đặc khu Côn Đảo, các trường thực hiện xét tuyển vào lớp 10 bằng học bạ.
NGUYỄN QUYÊN
Nguồn PLO : https://plo.vn/khoang-70-hoc-sinh-tphcm-co-suat-vao-lop-10-cong-lap-post906468.html