TP.HCM công bố chỉ tiêu vào lớp 10 công lập năm học 2026-2027

TP.HCM công bố chỉ tiêu vào lớp 10 công lập năm học 2026-2027
2 giờ trướcBài gốc
Theo thông tin từ Sở Giáo dục và Đào tạo TP.HCM, năm học 2026-2027, 176 trường THPT công lập sẽ tuyển 117.355 học sinh lớp 10., 176 trường THPT công lập dự kiến tuyển 117.355 học sinh lớp 10. Ngoài ra, 41 trung tâm giáo dục thường xuyên – giáo dục nghề nghiệp công lập tuyển thêm 16.226 học sinh.
Trong khi đó, số học sinh tốt nghiệp lớp 9 năm học 2025–2026 dự kiến đạt 169.080 em, tăng 42.734 em so với năm trước. Cụ thể, khu vực 1 (TP.HCM) tăng 27.106 học sinh; khu vực 2 (Bình Dương) tăng 8.419 học sinh; khu vực 3 (Bà Rịa - Vũng Tàu) tăng 7.209 học sinh.
Tỷ lệ học sinh hoàn thành lớp 9 vào học lớp 10 công lập (gồm THPT và trung tâm giáo dục thường xuyên) đạt khoảng 79%.
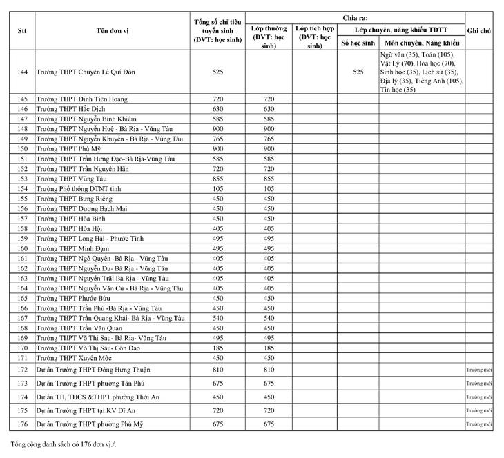
Cụ thể chỉ tiêu tuyển sinh lớp 10 các trường công lập:
Chỉ tiêu tuyển sinh lớp 10 các Trung tâm GDTX-GDNN công lập:
Chỉ tiêu tuyển sinh lớp 10 các trường phổ thông trực thuộc ĐH :
Trước đó, từ ngày 22/4 đến ngày 28/4, thí sinh đã đăng ký nguyện vọng vào các trường THPT công lập lớp thường. Trong thời gian này, học sinh cũng đăng ký loại hình dự thi vào lớp 10 gồm: lớp 10 thường, lớp 10 chuyên và lớp 10 tích hợp.
Kỳ thi tuyển sinh lớp 10 năm 2026-2027 diễn ra trong 2 ngày 1 và 2/6.
Giai đoạn 2: Từ ngày 4-5 đến ngày 8-5, điều chỉnh nguyện vọng lần cuối cùng.
Lưu ý: Thí sinh phải xác định và đăng ký dự thi (hệ thường, chuyên, Đề án tiếng Anh 5695) với ít nhất 1 nguyện vọng cho mỗi loại hình ngay trong giai đoạn 1. Giai đoạn 2: Thí sinh sẽ có 5 ngày điều chỉnh nguyện vọng, từ 17 giờ ngày 4-5 đến 17 giờ ngày 8-5 (chỉ điều chỉnh, không cho phép đăng ký thi mới)
Kết thúc giai đoạn 2 đăng ký, Sở Giáo dục và Đào tạo chịu trách nhiệm đồng bộ dữ liệu đăng ký nguyện vọng của thí sinh, tính toán khoảng cách từ nơi ở của thí sinh đến từng trường trong 3 nguyện vọng và cập nhật vào hệ thống quản lý thi của sở.
Như Thúy
Nguồn VTC : https://vtcnews.vn/tp-hcm-cong-bo-chi-tieu-vao-lop-10-cong-lap-nam-hoc-2026-2027-ar1015570.html