TP. Hồ Chí Minh công bố chỉ tiêu lớp 10 công lập năm học 2026-2027

TP. Hồ Chí Minh công bố chỉ tiêu lớp 10 công lập năm học 2026-2027
2 giờ trướcBài gốc
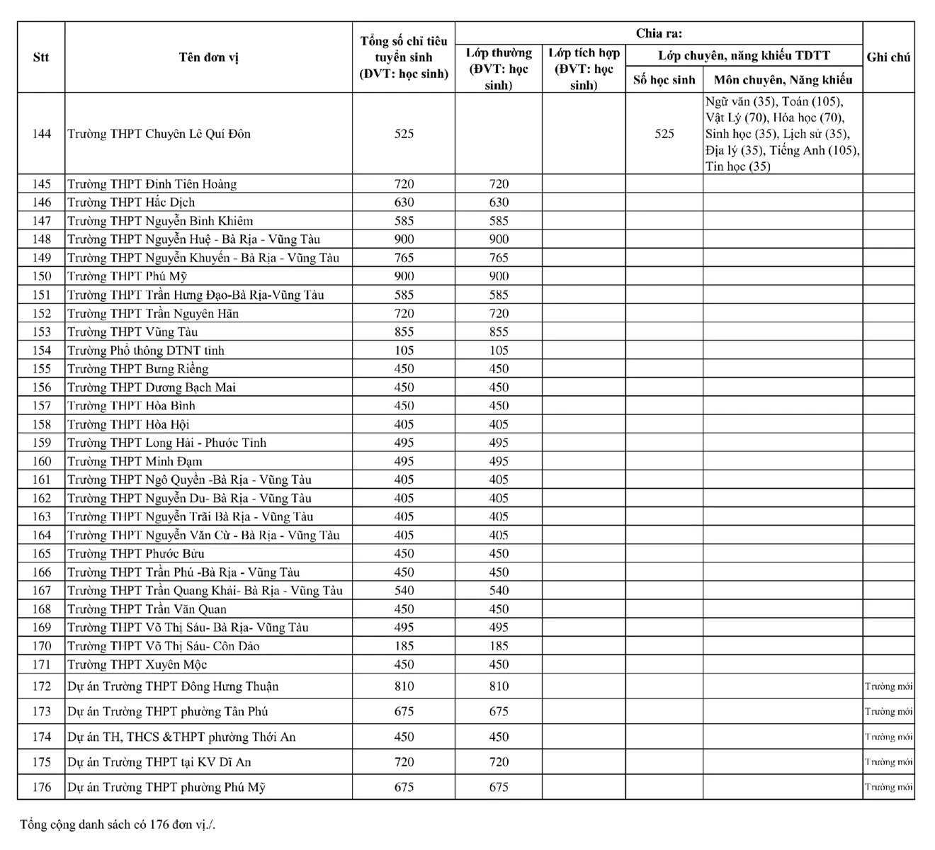
Năm học 2026-2027, 176 trường THPT công lập tại TP. Hồ Chí Minh sẽ tuyển 117.355 học sinh lớp 10
Sở Giáo dục và Đào tạo (GD-ĐT) TP. Hồ Chí Minh cho biết năm học 2026-2027, 176 trường THPT công lập sẽ tuyển 117.355 học sinh lớp 10.
41 trung tâm giáo dục thường xuyên - giáo dục nghề nghiệp công lập sẽ tuyển 16.226 học sinh.
Ngoài ra, Trường phổ thông Năng khiếu (Đại học Quốc gia TP. Hồ Chí Minh), Trường trung học Thực hành (Đại học Sư phạm TP. Hồ Chí Minh), Trường trung học Thực hành Sài Gòn (Trường đại học Sài Gòn), Trường quốc tế Việt Nam - Phần Lan (Trường đại học Tôn Đức Thắng), Trường phổ thông Năng khiếu thể thao Olympic (Trường đại học Thể dục Thể thao TP. Hồ Chí Minh) tuyển 1.195 học sinh lớp 10.
Trong khi đó, dự kiến số học sinh tốt nghiệp lớp 9 năm học 2025-2026 là 169.080 em, tăng 42.734 em so với năm học trước.
Trong đó khu vực 1 tăng 27.106 học sinh, khu vực 2 tăng 8.419 học sinh và khu vực 3 tăng 7.209 học sinh.
Tỷ lệ học sinh hoàn thành lớp 9 vào lớp 10 công lập các trường THPT và trung tâm giáo dục thường xuyên là 79%.
Chỉ tiêu tuyển sinh lớp 10 các trường công lập
Chỉ tiêu tuyển sinh lớp 10 các trung tâm giáo dục thường xuyên - giáo dục nghề nghiệp công lập
Chỉ tiêu tuyển sinh lớp 10 các trường thuộc đại học, trường đại học
Tịnh Hà
Nguồn Đại Biểu Nhân Dân : https://daibieunhandan.vn/tp-ho-chi-minh-cong-bo-chi-tieu-lop-10-cong-lap-nam-hoc-2026-2027-10415409.html