Danh sách 342 phương tiện vi phạm bị Camera AI phát hiện

Danh sách 342 phương tiện vi phạm bị Camera AI phát hiện
một ngày trướcBài gốc
Theo đó, chủ phương tiện, người điều khiển phương tiện có thể tra cứu thông tin “phạt nguội” trên ứng dụng VNeTraffic hoặc trang thông tin điện tử của Cục Cảnh sát giao thông - Bộ Công an tại địa chỉ www.csgt.vn, hoặc liên hệ trực tiếp Đội Chỉ huy giao thông và điều khiển đèn tín hiệu giao thông (Phòng CSGT - CATP Hà Nội) tại số 54 Trần Hưng Đạo, phường Cửa Nam, TP Hà Nội, điện thoại: 0692.196.440 để được hướng dẫn, giải quyết.
Danh sách ô tô vi phạm (82 xe ô tô):
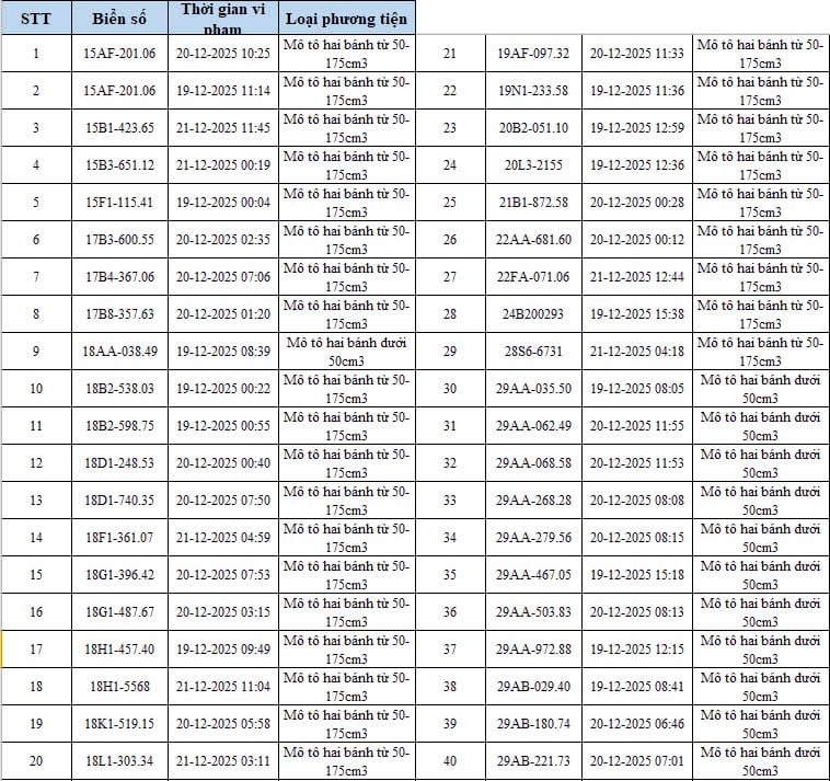
Danh sách xe máy vi phạm (260 xe máy):
PV/VOV Giao thông
Nguồn VOV : https://vov.vn/xa-hoi/tin-24h/danh-sach-342-phuong-tien-vi-pham-bi-camera-ai-phat-hien-post1259365.vov